癌癥免疫治療又取得重大突破。
只不過這一次,讓免疫治療飛的是一個小分子化合物。
今天,約翰霍普金斯大學醫學院Jonathan D. Powell團隊,在頂級期刊《科學》雜志發表重要研究成果[1]。
他們發現,阻斷谷氨酰胺代謝的小分子化合物JHU083,能攪亂腫瘤的代謝,讓腫瘤的“瓦博格效應”癱瘓,逆轉腫瘤微環境的缺氧、多酸和缺營養狀態,解除腫瘤微環境的免疫抑制能力。
除此之外,這個小分子還能重編程T細胞的代謝方式,直接(是的,是直接,不需要腫瘤的刺激)激活T細胞,讓T細胞的壽命更長,促進記憶T細胞的形成。
▲ Jonathan D. Powell(右,圖源:約翰霍普金斯醫學院)
也就是說,JHU083兼具破壞腫瘤微環境和激活免疫系統的功能。說的再明白點兒,JHU083既能破除腫瘤對免疫檢查點抑制劑的耐藥性,又能靠自身實力激活T細胞殺死癌細胞。
作者認為,這個研究暴露了癌細胞和T細胞在代謝可塑性上,存在一種不為人知的巨大差異。
作者還給這個治療方法取了個洋氣的名字“代謝檢查點”抑制劑。
那么這個代謝檢查點抑制劑是如何誕生的?抗癌效果如何?背后又有什么神奇的機制呢?
接下來咱們就一個問題一個問題地嘮。
▲ 論文首頁
如果說腫瘤是個邪惡的城堡,那么微環境就是它的護城河。
低氧、酸性,還缺少營養物質的腫瘤微環境,對腫瘤來說是個逍遙自在的法外之地,對于免疫細胞來說卻是個九死一生的不毛之地[2,3]。
免疫治療對很多患者無效,腫瘤微環境“功不可沒”。
而腫瘤微環境的形成,有賴于腫瘤特殊的代謝方式,也就是大家所熟知的“瓦博格效應 ”[4]。
用一句話總結的話,那就是:腫瘤特殊的代謝方式,塑造了促進腫瘤生長,且能抑制免疫系統的腫瘤微環境。
要想消滅腫瘤,瞄準腫瘤的代謝是一個重要的方式。
這個方法應該從瓦博格發現腫瘤代謝異常沒多久之后,就有科學家想到了。
科學家注意到,由于在腫瘤中葡萄糖是通過糖酵解的方式代謝成乳酸,因此谷氨酰胺可以促進三羧酸循環[5,6],生成代謝中間體,用以合成脂質、蛋白質和核酸等對細胞生長和增殖至關重要的物質。
因此,很多科學家就推測,阻斷谷氨酰胺代謝,說不定就能抑制腫瘤的生長,甚至能夠解除腫瘤對免疫系統的壓制。大家首先想到的就是搞定谷氨酰胺酶,遺憾的是效果不太行[7,8]。因為一直在進化的腫瘤,總會繞過這個靶點,很容易就耐藥。
唯一的辦法就是全面阻斷谷氨酰胺代謝,也就是同時抑制多種與谷氨酰胺代謝有關的酶,DON(6-Diazo-5-oxo-L-norleucine)就是這樣一個化合物[9]。
遺憾的是,雖然DON確實展現出了非凡的抗腫瘤效果,但是它的毒性也大到難以承受[10-12],畢竟腫瘤的代謝方式和正常細胞很多地方是一樣的。
▲ DON長這樣
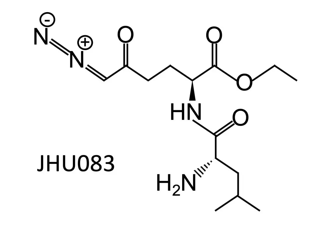
為了避免DON的全身毒性,Powell團隊給DON做了一些改造,把它變成一種“前藥”。這個“前藥”需要進入腫瘤微環境,經過特殊酶的處理,才能變回DON,這樣就能降低谷氨酰胺代謝途徑抑制劑的毒性了。
如此一來JHU083就誕生了。
▲ JHU083長這樣
從理論上講,這個設計是沒有什么問題的。那JHU083的抗癌效果究竟如何呢?真沒有毒副作用嗎?
Powell團隊在結腸癌MC38、淋巴瘤EL-4、結腸癌CT26和黑色素瘤B16這四個癌細胞系中,做了深入研究。在小鼠身上分別接種4種癌細胞之后,注射JHU083抗癌效果良好,所有類型的小鼠存活率都顯著提高。而且抗癌效果還非常持久(請默默記住)。
通過代謝分析,研究人員發現,谷氨酰胺代謝抑制劑JHU083抑制了葡萄糖通過三羧酸循環和糖酵解等方式代謝。
不僅是正常的代謝亂了,腫瘤依賴的“瓦博格效應 ”居然也癱瘓了。
隨之而來的是,腫瘤內的谷氨酰胺和葡萄糖含量顯著上升,腫瘤的缺氧狀態也顯著改善了。JHU083不僅切斷了腫瘤的能量,還改造了腫瘤微環境,把“不毛”之地,變成了“富庶”之地。
▲ JHU083處理后,腫瘤微環境變好了
既然JHU083改善了腫瘤微環境,研究人員第一個想到的應用自然就是:聯合免疫治療?。?!
從上面的結果看來,JHU083肯定能提升免疫治療效果,說不定還能解除腫瘤對免疫治療的耐藥。
研究人員毫不猶豫地選用了對PD-1抑制劑耐藥的MC38。
不過這個時候,給藥的方式讓研究人員猶豫了一下。是一起給藥,還是按照先用JHU083,再用PD-1抑制劑?畢竟T細胞的代謝過程也與癌細胞相通呀[13]。搞不好,PD-1抑制劑好不容易拯救的T細胞,又被JHU083整掛了。
于是他們把兩種給藥方式都試了。你猜結果如何。
讓研究人員大吃一驚。
無論如何也沒想到,JHU083和PD-1抑制劑同時給藥效果最好。原本對PD-1抑制劑完全沒反應的MC38,在JHU083和PD-1抑制劑同時使用時,接種MC38的小鼠完全緩解率接近100%。
▲ JHU083+PD-1抑制劑效果不錯
這個結果讓研究人員有了一個意外的發現,雖然谷氨酰胺代謝會促進淋巴細胞的增殖,以及增強淋巴細胞的活性;但是現在看來,抑制谷氨酰胺代謝,不僅不會對免疫細胞有負面作用,反而可以增強免疫細胞的功能。再結合前面發現的JHU083單藥治療會讓小鼠獲得持久的抗腫瘤效果。
以上種種都暗示,JHU083可能還是個免疫治療藥物啊。
研究人員很快就在小鼠體內證實了這一點。而且,JHU083單藥的抗腫瘤活性完全依賴于CD8+ T細胞。也就是說,JHU083僅通過影響腫瘤和T細胞的代謝,增強了免疫系統的抗癌能力。
▲ JHU083靠的是CD8+ T
那么JHU083究竟讓CD8+ T細胞發生了哪些變化呢?
首先,Powell團隊證實,JHU083治療之后,腫瘤中CD8+ T細胞浸潤增加,這應該是腫瘤微環境改善后的結果。而且,這些腫瘤浸潤T細胞中,有抗原特異性的占比較多。
然后,他們分別從接受JHU083治療和沒有接受JHU083治療的小鼠體內分離出CD8+ 腫瘤浸潤T細胞。然后做了RNA測序。發現二者之間,有4313個基因的表達存在顯著差異。
仔細一分析,很容易就發現,接受JHU083治療的小鼠,CD8+ 腫瘤浸潤T細胞的轉錄組表現出,增殖能力增強、抗癌活性增強、不耗竭等特點。還有PD-1和LAG-3這倆免疫檢查點雙陽性的T細胞比例低,IFNγ升高、顆粒酶B和IL-2等抗癌物質升高等特點。此外,研究人員還觀察到,與長壽記憶T細胞相關的基因表達升高,與凋亡有關的基因表達顯著降低。
更讓研究人員意外的是,即使在沒有腫瘤細胞存在的情況下,JHU083也會激活T細胞發生上述大部分反應。竟然也不依賴于腫瘤細胞的刺激,真是完全獨立了。
▲ JHU083處理后,各種指標改善很明顯
以上的研究成果其實已經很激動人心了。畢竟是發現了一個能同時破壞腫瘤微環境,增強T細胞抗癌效果的藥物。
不過,看到以上的研究成果,一個更大的疑問縈繞在研究人員的腦海。
JHU083發揮做用的方式就是影響代謝,那么它對癌細胞和T細胞的影響為啥差別那么大呢?
為了解決這個問題,研究人員做了超級復雜的實驗。要把實驗過程說清楚,我怕還得2000字,所以此處就省略研究過程,只說結論。
結論就是,對于癌細胞而言,糖酵解、氧化磷酸化和谷氨酰胺代謝之間的依賴關系,嚴重缺乏可塑性,只要一處亂了,就徹底完了。這是不是有點兒像黑幫,一處亂了,就徹底亂了。
而T細胞就不一樣了,它的代謝可塑性非常強。谷氨酰胺代謝被阻斷之后,立馬會發生適應性代謝重編程,進而增強生存、增殖和抗癌技能。
參考資料:
[1].Robert D. Leone, Liang Zhao, Judson M.Englert, et al. Glutamine blockade induces divergent metabolic programs toovercome tumor immune evasion[J]. Science, 2019.
[2].Zhao E, Maj T, Kryczek I, et al. Cancermediates effector T cell dysfunction by targeting microRNAs and EZH2 viaglycolysis restriction[J]. Nature immunology, 2016, 17(1): 95.
[3].Chang C H, Qiu J, O’Sullivan D, et al.Metabolic competition in the tumor microenvironment is a driver of cancerprogression[J]. Cell, 2015, 162(6): 1229-1241.
[4].Vander Heiden M G, Cantley L C,Thompson C B. Understanding the Warburg effect: the metabolic requirements ofcell proliferation[J]. science, 2009, 324(5930): 1029-1033.
[5].Pavlova N N, Thompson C B. The emerginghallmarks of cancer metabolism[J]. Cell metabolism, 2016, 23(1): 27-47.
[6].Altman B J, Stine Z E, Dang C V. FromKrebs to clinic: glutamine metabolism to cancer therapy[J]. Nature ReviewsCancer, 2016, 16(10): 619.
[7].Davidson S M, Papagiannakopoulos T,Olenchock B A, et al. Environment impacts the metabolic dependencies ofRas-driven non-small cell lung cancer[J]. Cell metabolism, 2016, 23(3):517-528.
[8].Gross M, Chen J, Englert J, et al.Glutaminase inhibition with CB-839 enhances anti-tumor activity of PD-1 andPD-L1 antibodies by overcoming a metabolic checkpoint blocking T cellactivation[C]//Cancer Research. 615 CHESTNUT ST, 17TH FLOOR, PHILADELPHIA, PA19106-4404 USA: AMER ASSOC CANCER RESEARCH, 2016, 76.
[9].Pinkus L M. [45] Glutamine bindingsites[M]//Methods in enzymology. Academic Press, 1977, 46: 414-427.
[10].Lemberg K M, Vornov J J, Rais R, etal. We're not “DON” yet: optimal dosing and prodrug delivery of6-Diazo-5-oxo-L-norleucine[J]. Molecular cancer therapeutics, 2018, 17(9):1824-1832.
[11].Lynch G, Kemeny N, Casper E. Phase IIevaluation of DON (6-diazo-5-oxo-L-norleucine) in patients with advancedcolorectal carcinoma[J]. American journal of clinical oncology, 1982, 5(5):541-543.
[12].Earhart R H, Amato D J, Chang A Y C,et al. Phase II trial of 6-diazo-5-oxo-L-norleucine versus aclacinomycin-A inadvanced sarcomas and mesotheliomas[J]. Investigational new drugs, 1990, 8(1):113-119.
[13].Frauwirth K A, Riley J L, Harris M H,et al. The CD28 signaling pathway regulates glucose metabolism[J]. Immunity,2002, 16(6): 769-777.
(來源于: 奇點糕 奇點網)


