來源于:原創 奇點糕 奇點網
肥胖導致的癌癥風險。在近期的《柳葉刀·糖尿病與內分泌學》上,一項最新的分析就顯示:青少年時期的肥胖,與男性在中年階段癌癥風險上升26%,女性除宮頸癌和乳腺癌以外的癌癥風險上升27%有關!
(圖片來源:Pixabay)
這項分析,是基于以色列1967-2010年間,全國230萬青少年的健康資料和此后的隨訪數據得出的,而且風險升高最早在脫離青少年時期后10年,也就是還不到30歲,就會明顯體現出來[1]!
青少年肥胖的這種影響,足以解釋全部癌癥發病的5%!所以奇點糕真是替現在的小胖妞小胖墩們捏了一把汗啊,而且這學校不開學,在家里好吃好喝的,要是再催生出新一波……各部門注意,趕緊行動起來啊
用英國癌癥研究組織(Cancer Research UK)的說法,肥胖現在已經取代了吸煙,成為導致癌癥的最大風險因素。雖然這種觀點還導致了相當大的爭議[2],但肥胖的影響之大,確實是不爭的事實。
尤其是隨著青少年肥胖的比例不斷上升,下一代人會在怎么樣的程度上被影響,還真是說不好,因為過往的研究,大多關注的是癌癥風險相對偏高的中老年人。那么“一胖毀所有”,在肥胖青少年身上會不會應驗呢?
(圖片來源:Pixabay)
開展本次研究的以色列國防軍醫療部門人員,調取了1967-2010年間,以色列青少年兵役登記時的體檢信息,由于以色列幾乎是全民兵役制度,這些信息就涵蓋了全國絕大多數的青少年。
這些人在兵役登記時,體檢存在肥胖(BMI在第85百分位數以上)的占到了12%,而且隨訪期明顯比不肥胖的人更短,也從側面提示了肥胖人群隨著時間推移,比例不斷增多的趨勢。
根據這些信息,研究團隊按照青少年的BMI指標劃分群體,然后再對照以色列國家癌癥數據庫中的登記資料,分析截至2012年不同BMI人群的癌癥發病情況,從而計算肥胖的影響。
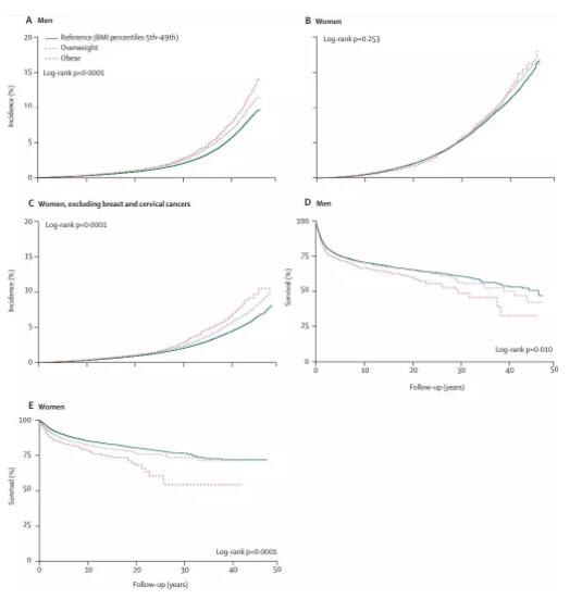
這近230萬人當中已經確診了5.5萬例癌癥患者,有1.3萬人因癌癥去世,而且確診癌癥的中位年齡,男性和女性分別是43.2歲和40歲,其中男性主要以淋巴瘤、黑色素瘤和結直腸癌發病為主,女性則是宮頸癌和乳腺癌為主。
中年得知自己患癌,想想也是挺難受的。而且研究團隊分析數據發現,癌癥種類和BMI的關系,也不能一概而論,比如男性肺癌和女性宮頸癌、乳腺癌的發病風險,就與BMI呈現負相關的關系。
嚴肅提醒,不準解讀說“肥胖防男性肺癌”,望周知
男性肺癌在這次的分析中影響不大,但宮頸癌、乳腺癌占到了女性癌癥發病的一半以上,研究團隊決定先剔除這兩種癌癥,分析女性其他癌癥風險與BMI的關系,因此就有了女性肥胖與癌癥發病風險上升27%有關的結論。
如果按照時間線關系來看,那么在兵役體檢的10年后,肥胖與癌癥風險上升的關聯性,就會在分析數據上體現出來,而且隨著時間推移逐漸上升。到2017年時,這種影響的歸因危險度已經達到5%,也就是足以單獨解釋5%的癌癥發病。
當然了,肥胖的影響也不局限在癌癥發病風險上。從研究團隊的分析來看,分析中癌癥患者確診后的5年生存率,也和肥胖有明顯的關聯,比如女性肥胖癌癥患者的5年生存率,就比體重正常的人要低6%,相當于相對風險上升了89%!
跟體重正常患者(綠線)比起來,超重和肥胖的線走向就不咋樣了
肥胖的威脅,真是赤裸裸的啊。不過用《柳葉刀》配發的社論里的話說,那些健康受肥胖威脅最大的人,反而“可能是最不容易行動起來,改變生活方式對抗肥胖的人”。


